win7系统下载
当前位置: 首页 > 网络技术教程 > 详细页面

光纤大电流传感器研究

发布时间:2022-07-01 文章来源:深度系统下载 浏览:

网络技术是从1990年代中期发展起来的新技术,它把互联网上分散的资源融为有机整体,实现资源的全面共享和有机协作,使人们能够透明地使用资源的整体能力并按需获取信息。资源包括高性能计算机、存储资源、数据资源、信息资源、知识资源、专家资源、大型数据库、网络、传感器等。 当前的互联网只限于信息共享,网络则被认为是互联网发展的第三阶段。

随着电力工业的迅速发展,电力传输系统容量不断增加,运行电压等级越来越高,不得不面对棘手的强大电流的测量问题。一次仪表和二次仪表之间的电绝缘和信息传递的可靠性要求可能使传统的测量手段无用武之地。而在高电压、大电流和强功率的电力系统中,测量电流的常规技术所采用的以电磁感应原理为基础的电流传感器(简称为CT),暴露出一系列严重的缺点:由爆炸引起的灾难性事故的潜在危险;大故障电流导致铁芯磁饱和;铁芯共振效应;滞后效应;输出端开路导致高压;体积大、重量大、价格昂贵;精度无法做得很高;易受电磁干扰影响。传统CT已难以满足新一代电力系统在线检测、高精度故障诊断、电力数字网等发展的需要将光纤传感技术引入到电流检测中的光纤电流传感器(简称OCS)成为解决上述难题的最好方法。

自从1973年,AJRogers首先提出光学电流传感的想法以来,光纤传感技术已发展了20多年。与普通电磁互感器相比,在高强电流测量应用中光纤电流传感器具有以下优点:光纤电流传感器没有磁饱和现象,也不像通常的电磁互感器的动态工作范围受磁饱和效应的限制;光纤电流传感器抵抗高电磁干扰,对环境的要求低;光纤电流传感器可以在较宽的频带内,产生高线性度响应;光纤电流传感器体积比较小,安装使用比较方便等。

总之,光纤电流传感器具有许多优点,尤其是它的绝缘性能好,体积小,成本低,并且频带宽,响应时间短,可同时用于测量直流、交流及脉冲大电流,因此可望成为高压下测量大电流的理想传感器。

1、传感器原理及光路设计

光纤电流传感器利用磁光材料的法拉第效应,在光学各向同性的透明介质中,外加磁场H可以使在介质中沿磁场方向传播的平面偏振光的偏振面发生旋转,偏转角度通过检偏器可确定。其原理如图1所示,B为两偏振器夹角,θ为平面光通过磁光晶体后发生的偏转角。

光纤大电流传感器研究_网络技术

其旋转角θ与光传播的磁光材料上的磁场中强度H和磁光材料的长度L成正比:当H一定时,旋转的角度θ为:    

θ=vHL  

式中:v为verdet常数;H为磁场强度;L为磁光玻璃长度。通电长直导线磁场公式:   

H=I/2πr(2)

光纤大电流传感器研究_网络技术

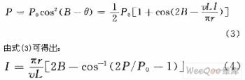
再由式(4)可得:当P=P0时,Imax=2πrB/vL,只要角B越大,所能测的最大电流值也越大,所以在实验中常用增大角B的办法来增大其测量范围。但在实际中,角B的增大到一定值后会使光路的调焦变得更困难,并使小信号更难测量,在以往实验中一般取B=45°或相差不大的值。在该实验中选用2mw的激光器作调整光源,在第一次调焦时把磁光晶体的出射光投到1m外的地方以便消除可能出现的双折射,并用光学胶密封各接合面,使光路调整更容易操作,因此角B选择了80°。上式中,夹角B在传感器完工后是定值,因此只要测得P,P0值就可得到电流值。

光纤大电流传感器研究_网络技术

在光路设计中,采用图2所示结构。暗灰色的箭头线表示光线在传感器中的传输路径:光源发出的光经带自聚焦透镜的光纤进入传感器,通过蒸镀反射膜的直角棱镜的反射改变为线偏振光进入磁光晶体,偏振面受磁场调制的线偏振光经过检偏器和对应的直角棱镜后通过另一带自聚焦透镜的光纤进入光电探测器。  

2、系统结构     

由式(4)可知,获得P0,P即可得到被测电流值I。系统构框图如图3(略)所示。    

其中,激光器采用恒流驱动,提供32mA恒定电流。通过出光功率自动控制电路,实现光功率反馈,将探测到的光电信号与激光器的驱动电流比较,以达到及时调整激光器工作光功率抖动的目的。    
光检测及放大部分电路实现了光/电转换,并且对电信号放、滤波,以及分离直流信号和交流信号。原理框图如图4所示。

光纤大电流传感器研究_网络技术

信号采集处理部分实现对直流信号和交流信号分别采集,进行处理。记录下未通电流时的直流信号U0,作为基准值,U分别为带有电流直流、交流信息的检测值,经过运算分别出被测电流I的直流分量和交流分量。  

3、实验结果及分析      

在实验的传感头内孔径D1=2cm,外环直径D2=5cm,底座(即图2中的plinth)厚度h=1.1cm;准直器是用能通过635 nm红光的光纤和聚焦透镜制成;磁光晶体厚度d=2 cm;verdet常数v=-1.17×10-3rad/A;光源输出功率为1 mW;实验中分别用连续电流和脉冲电流对其进行检测。实验时把器件一端接在光源输出端,另一个接在输入端,并把通电导线从缺口横穿过去就可开始测试。   

3.1用连续交流电测实验    

在用连续交流电测实验中通过渎取光纤电流传感器输出的电压与用标准器件测得的电流进行比较,并把所得的电压值等效为光纤电流传感器的电流值。在实验中标准器件使用的是电流互感器。表1是在某测试机构中测得的数据。     将表1中的电流值作为横坐标,电压值作为纵坐标绘制成曲线,如图5所示。可以看出,电压与电流是近似成正比的。

光纤大电流传感器研究_网络技术

从图5的数据可看到在100~3000A范围内,系统具有良好的线性度。

3.2用脉冲电流测实验      

由于一般测试机构中很少测试上万安的交流电,图6和图7是在某测试院中用脉冲电流实验时在示波器上显示的波形图,上面曲线是通过光纤电流传感器得到的波形,图中曲线是通过电流互感器得到的波形。    

图6是用B=45°、峰值为32kA的脉冲电流实验得到的图像。从图中可看出光纤电流传感器在10kA左右的波形突然向下凹陷。经检验是所测电流超过其最大测量范围所致,即出现饱和失真。    

图7是B=80°、峰值为32kA的脉冲电流实验得到的图像。在图中,用光纤电流传感器测得的电流波形曲线没有失真,并且与用电流互感器测得的波形线较好的吻合,说明32kA的电流在其动态范围之中,并且响应时间小于10μs。

综合上述实验,系统在小电流测试时具有较好的线性度和稳定性。在大电流测试中,第一次测试出现了饱和失真,第二次用增大角B的方法解决了失真的问题,并且动态范围较大,响应时间短。其实.由式(4)还可看出,通过增大verdet常数v,或磁光晶体长度L还可以使测量范围变得更大,但这就需要重新定制、加工磁光晶体,使成本更高和制作时间更长。故第一次出现饱和失真后选择了增大角B的方法。

4、结语

在此用磁光晶体作材料,以法拉第旋光效应为原理设计和制作了光纤电流传感器的传感头,并用所设计的传感头搭建了实验系统和进行大电流的检测实验。实验结果表明,该设计的传感器在高电压下能较准确实现32kA电流的测量。而且该器件结构简单、使用方便、响应时间短,具有较好的实用价值。 



网络的神奇作用吸引着越来越多的用户加入其中,正因如此,网络的承受能力也面临着越来越严峻的考验―从硬件上、软件上、所用标准上......,各项技术都需要适时应势,对应发展,这正是网络迅速走向进步的催化剂。

本文章关键词: 光纤技术